Developer Guide and Reference for Intel® Cryptography Primitives Library
A newer version of this document is available. Customers should click here to go to the newest version.
Finite Field Arithmetic
This section describes the Intel® Cryptography Primitives Library functions that implement arithmetic operations with elements of the following finite fields ANT:
GF(p) |
A finite field of p elements. |
GF(q) |
If q is an odd prime number, then the finite field is represented by integers modulo q. This field is also known as the prime finite field. |
GF(pd) |
If p = q, q is an odd prime number and d > 1, the finite field is represented by polynomials modulo g(x), GF(p)[x]/g(x), where g(x) is an irreducible polynomial over GF(p). This field is also known as a degree ``d`` extension of the GF(``p``) field. |
GF(((qn1)n2)n3) |
A very complex extension of the prime finite field GF(q). The initial prime field GF(q) used at the lowest level of the construct is frequently called the basic finite field with respect to the extension. |
The finite field arithmetic functions use context structures of the IppsGFpState and IppsGFpElement types to store data of the finite field and the field elements, respectively.
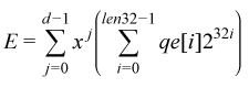
The IppsGFpElement type structure is used for internal representation of field elements. In application (or external) representation of field element is straightforward. Each element E of the prime field GF(q) is an unsigned number in the range [0, q - 1], which is represented by a data array Ipp32u qe[len32] , so that

where
is the length of the prime q, expressed in dwords (32-bit chunks).
Each element E of GF(pd) is represented by a polynomial of degree less than d. This polynomial is represented by an array of coefficients pe[d] that belong to GF(p).

Thus,
Ipp32u a[4] = {0xBFF9AEE1,0xBF59CC9B,0xD1B3BBFE,0xD6031998};
is an external (application-side) representation of an element that belongs to some prime field GF(q), bitsize(q)=128.
Similarly,
Ipp32u b[2][4] = { {0xBFF9AEE1,0xBF59CC9B,0xD1B3BBFE,0xD6031998},
{0xBB6D8A5D,0xDC2C6558,0x80D02919,0x5EEEFCA3} };
is an external (application-side) representation of an element that belongs to GF(q2) - a degree 2 extension of some prime field GF(q), bitsize(q)=128.
You can use Intel® Cryptography Primitives Library finite field functions to convert between the internal and the external representations of a finite field element.
Prime finite fields are the basic mathematical objects of Elliptic Curve (EC) cryptography. Intel® Cryptography Primitives Library supports different kinds of EC over finite fields and, in particular, the standard elliptic curves - elliptic curves with pre-defined parameters, including the underlying finite field. The performance of EC functionality directly depends on the efficiently of the implementation of operations with finite field elements such as addition, multiplication, and squaring.
Intel® Cryptography Primitives Library contains several different optimized implementations of finite field arithmetic functions. These implementations, referred to in this document as “methods”, are grouped together in structures. Intel® Cryptography Primitives Library does not reveal the content of these structures. The implementations, including those optimized for a particular prime q, are accessed by special Intel® Cryptography Primitives Library functions. For example, ippsGFpMethod_p192r1() returns a pointer to the structure containing optimized arithmetic over prime p192r1 (see GFpMethod for details).
Similarly, for GF(pd), additional knowledge concerning the predefined field polynomial g(x) allows Intel® Cryptography Primitives Library to provide a more efficient implementation of finite field arithmetic than in the case of an arbitrary field polynomial g(x). Intel® Cryptography Primitives Library contains methods dedicated to certain predefined g(x). For example, the functions ippsGFpxMethod_binom2() returns a pointer to the structure containing optimized arithmetic over GF(p2).
The comparison function GFpCmpElement returns the result of comparison:
#define IPP_IS_EQ (0) // elements are equal
#define IPP_IS_GT (1) // the first element is greater than the second one
#define IPP_IS_LT (2) // the first element is less than the second one
#define IPP_IS_NE (3) // elements are not equal
#define IPP_IS_NA (4) // elements are not comparable
Product and Performance Information
Performance varies by use, configuration and other factors. Learn more at https://edc.intel.com/content/www/us/en/products/performance/benchmarks/overview/. Notice revision #20201201- GFpInit
- GFpMethod
- GFpGetSize
- GFpxInitBinomial
- GFpxInit
- GFpxMethod
- GFpxGetSize
- GFpScratchBufferSize
- GFpElementGetSize
- GFpElementInit
- GFpSetElement
- GFpSetElementOctString
- GFpSetElementRandom
- GFpSetElementHash
- GFpCpyElement
- GFpGetElement
- GFpGetElementOctString
- GFpCmpElement
- GFpIsZeroElement
- GFpIsUnityElement
- GFpConj
- GFpNeg
- GFpInv
- GFpSqrt
- GFpAdd
- GFpSub
- GFpMul
- GFpSqr
- GFpExp
- GFpMultiExp
- GFpAdd_PE
- GFpSub_PE
- GFpMul_PE