1. Integer Arithmetic IP Cores
2. LPM_COUNTER (Counter) IP Core
3. LPM_DIVIDE Intel® FPGA IP Core References
4. LPM_MULT (Multiplier) IP Core
5. LPM_ADD_SUB (Adder/Subtractor)
6. LPM_COMPARE (Comparator)
7. ALTECC (Error Correction Code: Encoder/Decoder) IP Core
8. Intel FPGA Multiply Adder IP Core
9. ALTMEMMULT (Memory-based Constant Coefficient Multiplier) IP Core
10. ALTMULT_ACCUM (Multiply-Accumulate) IP Core
11. ALTMULT_ADD (Multiply-Adder) IP Core
12. ALTMULT_COMPLEX (Complex Multiplier) IP Core
13. ALTSQRT (Integer Square Root) IP Core
14. PARALLEL_ADD (Parallel Adder) IP Core
15. Integer Arithmetic Intel® FPGA IP Cores User Guide Document Archives
16. Document Revision History for Integer Arithmetic Intel® FPGA IP Cores User Guide
7.1. ALTECC Encoder Features
7.2. Verilog HDL Prototype (ALTECC_ENCODER)
7.3. Verilog HDL Prototype (ALTECC_DECODER)
7.4. VHDL Component Declaration (ALTECC_ENCODER)
7.5. VHDL Component Declaration (ALTECC_DECODER)
7.6. VHDL LIBRARY_USE Declaration
7.7. Encoder Ports
7.8. Decoder Ports
7.9. Encoder Parameters
7.10. Decoder Parameters
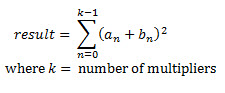
8.1.1.4. Pre-adder Square Mode
This mode is expressed in the following equation.

The following shows the pre-adder square mode of two multipliers.
Figure 13. Pre-adder Square Mode