Intel® Integrated Performance Primitives (Intel® IPP) Developer Guide and Reference

ID 790148
Date 6/24/2024
Public

A newer version of this document is available. Customers should click here to go to the newest version.

Document Table of Contents

Interpolation with Two-Parameter Cubic Filters

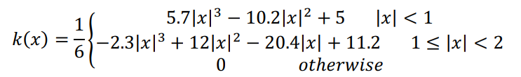
The two-parameter family of cubic filters have kernels of the form:



where B and C are two parameters; their variations give different approximation.

These interpolation methods additionally filter the output to improve quality of an image.

To get more information about how B and C values affect the result, refer to [Mitchell88].

Interpolation with two parameter cubic filters is presented as following functions:  

  • B-spline  
  • Catmull-Rom spline
  • Special two parameters filter

B-spline

B-spline is a more general type of curve than Bezier curves. This spline function has the smallest support for a given degree, order of smoothness, and domain partitioning.

ParametersBand C are equal to 1 and 0 respectively. 

To use the interpolation with two-parameter cubic filters, set the interpolation parameter to  IPPI_INTER_CUBIC2P_BSPLINE. 

To learn more about B-splines, refer to ScrewBender

Catmull-Rom Spline

The Catmull-Rom spline is a kind of cubic Hermite spline. Its peculiarity is that the interpolated function is given not only by its values ​​at points but also by its first derivatives .

Parameters B and C are equal to 0 and 0.5 respectively.

These interpolation methods additionally filter the output to improve the quality of an image.

To use the interpolation with two-parameter cubic filters, set the interpolation parameter IPPI_INTER_CUBIC2P_CATMULLROM.

Special Two-Parameters Filter

Parameters B and C are equal to 0.5 and 0.3 respectively.

To use the interpolation with two-parameter cubic filters, set the interpolation parameter IPPI_INTER_CUBIC2P_ B05C03 .